Table of Links
-
Experiments
Appendix
The appendix is structured in four sections. A. Proofs on differential structural information, B. Hyperbolic Space, including important notions and facts in hyperbolic geometry, C. Technical Details on algorithms, datasets, baselines, etc., and D. Additional Results on real datasets.
A. Proofs
Here, we detail lemmas and theorems on the proposed Differential Structural Information. In particular, we prove the equivalence, additivity, flexibility, bound and the connection to graph clustering, and show the supporting lemmas.
A.1. Proof of Theorem 4.4




Utilizing the equations above, we have completed the proof.
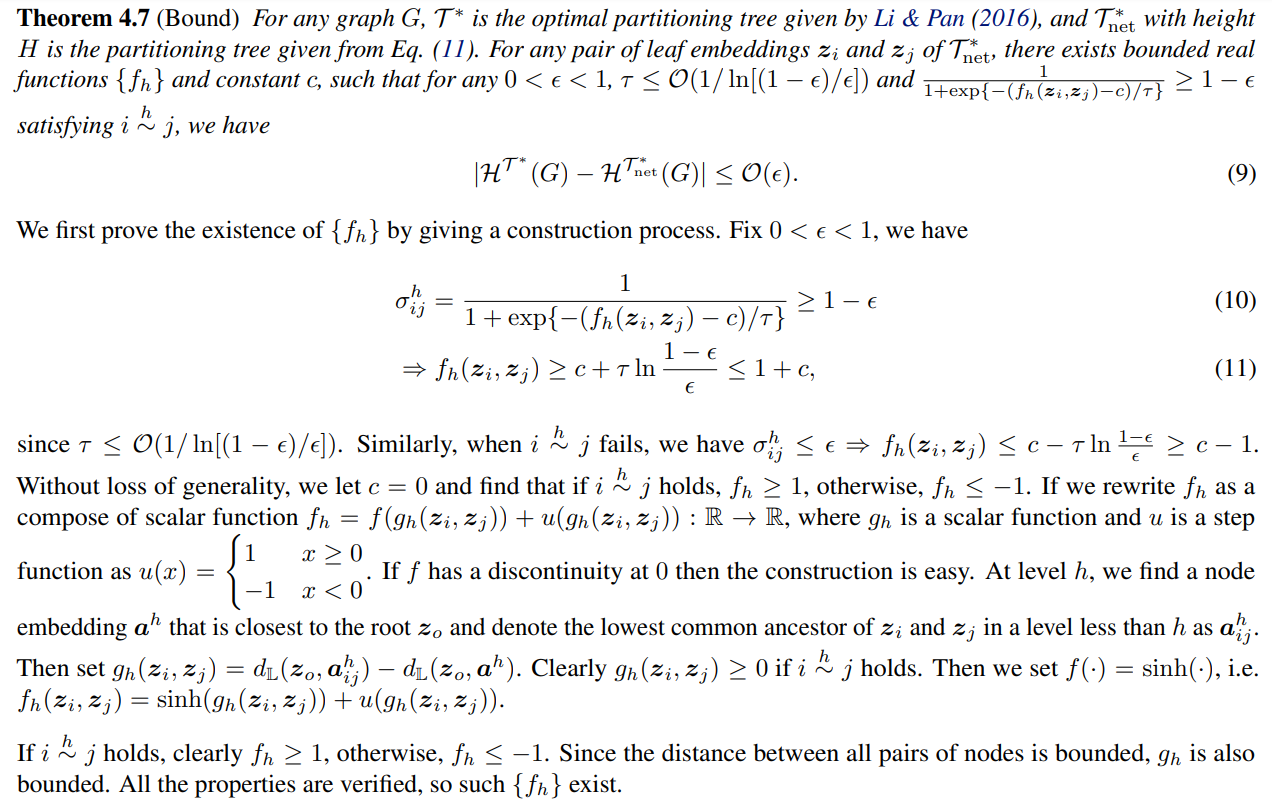
A.2. Proof of Theorem 4.7

Then we have the following lemma
Lemma A.1. For a weighted Graph G = (V, E) with a weight function w, and a partitioning tree T of G with height H, we can rewrite the formula of H-dimensional structural information of G w.r.t T as follows:

where I(·) is the indicator function.
Proof. We leave the proof of Lemma A.1 in Appendix A.5.
Now we start our proof of Theorem 4.7.




A.3. Proof of Lemma 4.5



A.4. Proof of Theorem 4.6



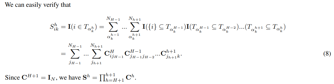
A.5. Proof of Lemma A.1
Lemma A.1 For a weighted Graph G = (V, E) with a weight function w, and a partitioning tree T of G with height H, we can rewrite the formula of H-dimensional structural information of G w.r.t T as follows:

where I(·) is the indicator function.
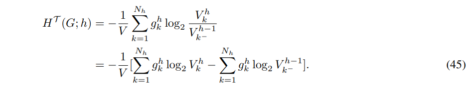
Proof. From Equation.1, we can rewrite structural information of G w.r.t all nodes of T at height h as follows:

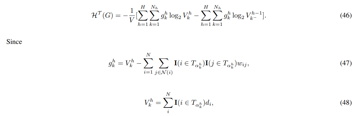
Then the H-dimensional structural information of G can be written as




Utilizing the equations above, we have completed the proof.
A.6. Proof of Theorem 4.8

Authors:
(1) Li Sun, North China Electric Power University, Beijing 102206, China ([email protected]);
(2) Zhenhao Huang, North China Electric Power University, Beijing 102206, China;
(3) Hao Peng, Beihang University, Beijing 100191, China;
(4) Yujie Wang, North China Electric Power University, Beijing 102206, China;
(5) Chunyang Liu, Didi Chuxing, Beijing, China;
(6) Philip S. Yu, University of Illinois at Chicago, IL, USA.
This paper is
